3) Um manuscrito antigo do “Pirata Barba Negra” indica que, numa certa ilha do Caribe, há um tesouro enterrado e dá as seguintes dicas da sua localização: Quando se desembarca na ilha, vêem-se duas grandes árvores, que chamarei de A e B. Para localizar o tesouro, caminhe de A para B, contando os passos. Ao chegar em B, vire à direita e caminhe metade do que andou de A para B. Daí caminhe na direção de A, contando os passos. Chegando em A, caminhe, na direção contrária a B, o total de passos que já andou. Nesse ponto X enterrei o tesouro.
Se a ilha é plana e a distância entre as duas árvores é de 10m, então a distância de A a X é igual a
a) 20
b)
c)
==> Resposta
d) 25

15 + AC = 15 + 5 sqrt(5)
Dez questões de matemática resolvidas
Veja a seguir a lista com dez questões de matemática resolvidas, elas abordam diversos temas da matemática, boa diversão.
1) Em uma colônia de formigas observou-se que no instante t = 0, o número de formigas era 500 e que o crescimento desse formigueiro é dado pela função f definida por
em que t é o tempo decorrido em dias. Supondo que não haja óbitos, em quantos dias, no mínimo, esse formigueiro atingirá 32000 formigas?
a) 32
b) 8
c) 16
d) 9
Resolução
2) Segundo economistas, o aumento do dólar em relação ao real acarreta inflação interna no Brasil, de modo que a cada aumento de 10% do dólar corresponde uma inflação de 1% a 1,5% no Brasil.
Supondo válida essa regra, se o dólar valia R$1,60 e passou a valer R$ 2,00, então a inflação correspondente no Brasil foi de
a) 1,7% a 3,25%
b) 2% a 3%
c) 2,5% a 3,75%
d) 2,5% a 3,25%
Resolução
Observação: No exercício 2, acredito que no momento em que o enunciado diz que "a cada aumento de 10% do dólar corresponde uma inflação de 1% a 1,5%", estamos falando de uma função linear, sendo assim como temos 2 aumentos de 10% teríamos uma inflação de 2% a 3%.
Contudo, alguns entendem que a função é real e se assim for, teremos um incremento de 25% em cada um dos valores, ou seja, vamos para 2,5% a 3,75%.
3) Um manuscrito antigo do “Pirata Barba Negra” indica que, numa certa ilha do Caribe, há um tesouro enterrado e dá as seguintes dicas da sua localização: Quando se desembarca na ilha, vêem-se duas grandes árvores, que chamarei de A e B. Para localizar o tesouro, caminhe de A para B, contando os passos. Ao chegar em B, vire à direita e caminhe metade do que andou de A para B. Daí caminhe na direção de A, contando os passos. Chegando em A, caminhe, na direção contrária a B, o total de passos que já andou. Nesse ponto X enterrei o tesouro.
Se a ilha é plana e a distância entre as duas árvores é de 10m, então a distância de A a X é igual a
a) 20
b)
c) 
d) 25
Resolução
4) Um aquário com o formato de um paralelepípedo retângulo de dimensões 15cm x 16cm x 36cm, está com 4/5 de seu volume ocupado pela água. Quando um cubo de ferro maciço é imerso lentamente nesse aquário, a água passa a ocupar todo o volume desse recipiente sem extravasar. É correto concluir que a área total, em cm2, desse cubo vale:
a) 1728
b) 864
c) 576
d) 288
Resolução
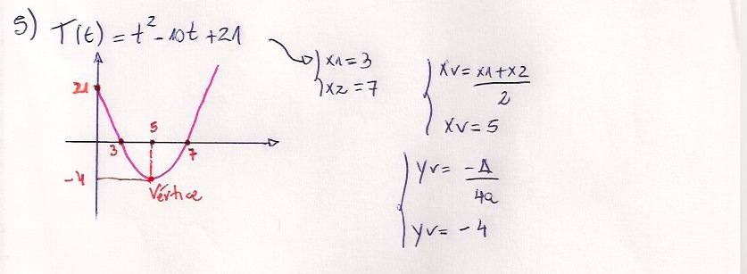
5) Durante um experimento, os alunos observaram que uma substância sofre um processo de mudança de temperatura. Após a coleta de dados, constataram que, t segundos após o início do experimento (t = 0), a temperatura T, em graus Celsius, é dada por
Nessas condições, analise as assertivas e assinale a alternativa que aponta a(s) corretas(s).
I) No instante t = 0, a temperatura da substancia está abaixo de 0˚C.
II) A temperatura mínima que a substancia atinge é de -4˚C.
III) Entre 3 e 7 segundos a temperatura da substância é negativa.
a) Apenas II
b) Apenas I e II
c) Apenas II e III
d) I, II e III
Resolução
6) Quarenta pessoas em excursão pernoitam em um hotel. Somados, os homens despendem R$ 2.400,00. O grupo de mulheres gasta a mesma quantia, embora cada uma tenha pago R$ 64,00 a menos que cada homem.
Denotando por x o número de homens do grupo, uma expressão que modela esse problema e permite encontrar tal valor é
a) 2400x = (2400 + 64x)(40 − x).
b) 2400(40 − x) = (2400 - 64x)x.
c) 2400x = (2400 − 64x)(40 − x).
d) 2400(40 − x) = (2400 + 64x)x
Resolução
7) Supondo-se que, em uma representação cartográfica de uma cidade, a Rua A pudesse ser identificada, no plano cartesiano, por uma reta de equação 2x – y + 2 = 0 e que encontrasse a Rua B, perpendicular a ela, no ponto onde x = 1, é correto afirmar que é possível representar a rua B, no plano, por uma reta de equação
a) 2y + x – 9 = 0
b) x – 2y + 9 = 0
c) x + 2y + 9 = 0
d) 4y – 2x – 9 = 0
Resolução
8) Uma pessoa deitada ao nível do solo, observa o alto de uma torre sob um ângulo de 30˚. Ao se deslocar 50 metros em direção à torre, passa a observá-la sob um angulo de 60˚, conforme a figura.
Nessas condições, pode-se afirmar que a altura h da torre, em metros, é
a) 25
b) 
c) 75
d) 
Resolução
9) Segundo estudos realizados em um centro de pesquisas geológicas, a probabilidade de um terremoto ocorrer no mar de certa cidade é de70%, e a probabilidade de ocorrer em terra é de 30%. Em ambos os casos podem ou não ocorrer danos à cidade. Se o terremoto ocorre no mar há 60% de chances de ocorrer danos à cidade. Se o terremoto ocorre em terra, a probabilidade de ocorrer danos é de 82%.Qual é a probabilidade de um terremoto ocorrer no mar e não haver danos à cidade?
a) 57,4%
b) 12,6%
c) 42%
d) 28%
Resolução
10) Uma empresa seleciona 16 funcionários fumantes e promove um ciclo de palestras com os mesmos para esclarecimentos sobre os efeitos prejudiciais do cigarro à saúde. Após essas palestras, são coletados dados sobre a quantidade de cigarros que cada um desses fumantes está consumindo diariamente. Tais dados são expressos da seguinte maneira:
10, 1, 10, 11, 13, 10, 34, 13, 13, 12, 12, 11, 13, 11, 12, 12
Os dados 1 e 34 são chamados discrepantes, pois são dados muito menores ou muito maiores que a maioria dos dados obtidos. Segundo esta coleta de dados, pode-se afirmar que
a) os cálculos da média, da mediana e da moda não sofrem influência dos dados discrepantes.
b) o cálculo da mediana sofre influência dos dados discrepantes que surgiram.
c) o cálculo da moda sofre influência dos dados discrepantes que surgiram.
d) o cálculo da média sofre influência dos dados discrepantes que surgiram.
Resolução
FONTE: TIME NEWS ROMAN
















0 Comentários